企业介绍
发展历程
荣誉资质
业务分布
康博刀 ®
微波消融系统
手术规划系统
海杰亚动态
知识科普
微视频
社会招募
校园招聘
博士后工作站
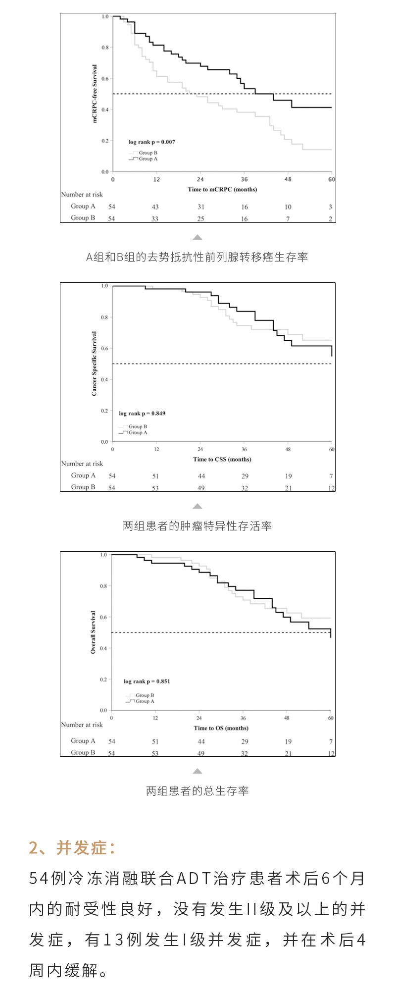
上一页:冷冻消融治疗肺转移性肿瘤——【海杰亚科研资讯】第238期
下一页:冷冻消融治疗肝转移瘤安全有效——【海杰亚科研资讯】第236期